Nov. 2024
Little Red Dots and Big Black Holes

The Host Galaxy (If Any) of the Little Red Dots
June. 2023
Unveiling Complex Galaxy Structures at Cosmic Dawn

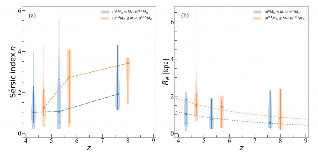
The Structure and Morphology of Galaxies during the Epoch of Reionization Revealed by JWST
Nov. 2024
Little Red Dots and Big Black Holes

The Host Galaxy (If Any) of the Little Red Dots
June. 2023
Unveiling Complex Galaxy Structures at Cosmic Dawn

The Structure and Morphology of Galaxies during the Epoch of Reionization Revealed by JWST